
聚天冬氨酸鎂-PASP-Mg
一、產品介紹
CAS No. 181828-06-8,25608-40-6
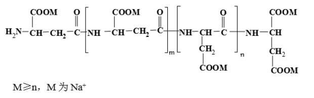
分子式:C4H5NO3M(C4H4NO3M)m(C4H4NO3M)nC4H4NO3M2
結構式
二、技術指標 符合HG/T3822-2006
項目 | 聚天冬氨酸液體 | 聚天冬氨酸固體 |
外觀 | 黃色至紅棕色液體 | 黃色至棕色粉末 |
固體含量% | ≥40.0 | ≥96 |
pH值(1%水溶液) | 9.0~11.0 | <10.5 |
密度(20℃)/g·cm-3 | ≥1.20 | N/A |
三、包裝與儲存
本品用塑料桶包裝,每桶25Kg或250Kg,固體用牛皮紙袋或紙板桶包裝;也可根據用戶需要而定,貯存于通風的庫房內,貯存期十二個月
四、安全防護
本品應避免與眼睛、皮膚或衣服接觸,一旦濺到身上,應立即用大量清水沖洗。
歡迎留言