
聚天冬氨酸鋅-PASP-Zn
一、產品介紹
CAS No. 181828-06-8,34345-47-6,25608-40-6
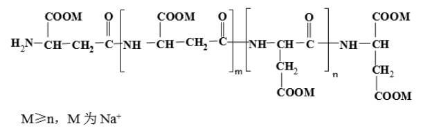
分子式:C4H5NO3M(C4H4NO3M)m(C4H4NO3M)nC4H4NO3M2
結構式
二、技術指標 符合HG/T3822-2006
項目 | 聚天冬氨酸液體 | 聚天冬氨酸固體 |
外觀 | 黃色至紅棕色液體 | 黃色至棕色粉末 |
固體含量% | ≥40.0 | ≥96 |
pH值(1%水溶液) | 9.0~11.0 | <10.5 |
密度(20℃)/g·cm-3 | ≥1.20 | N/A |
三、包裝與貯存
PASP用塑料桶包裝,每桶25kg或250kg,也可根據用戶需要確定。PASP貯于室內陰涼處,貯存期十個月。
四、安全與防護
PASP為堿性,操作時注意勞動保護,應避免與皮膚、眼睛等接觸,接觸后用大量清水沖洗。
歡迎留言